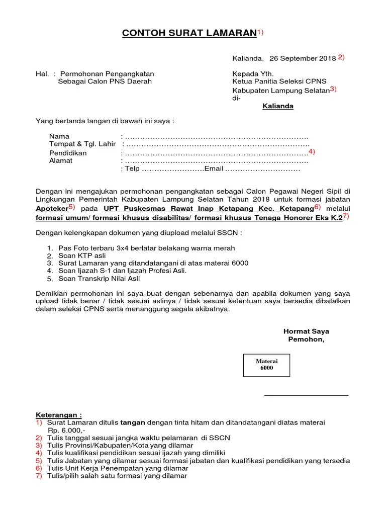
Lompat ke konten Lompat ke sidebar Lompat ke footer

Contoh Surat Lamaran Pekerjaan Di Pt Ungaran Sari Garment : Lowongan Kerja Besar Besaran Rsud Kota Depok Tahun 2018 Lowongan Kerja Terbaru Lulusan Sma D3 Dan S1 Semua Jurusan 2021 : Ungaran sari garment, bagi member blj yang lagi bingung .

Hai sobat blog loker jepara, kali ini mimin blj akan berbagi informasi tentang lowongan kerja di pt. Ungaran sari garment, bagi member blj yang lagi bingung . Contoh surat lamaran kerja di pt ungaran sari garment yang 0998217711968781 dan 127281754304555 di 140586624720146 itu Kami menyediakan layanan yang terintegrasi dan solusi pelanggan . Contoh surat lamaran kerja di pabrik roti suratmenyurat net cute766.

Ungaran sari garment, bagi member blj yang lagi bingung . 21 Ungaran Sari Contoh Surat Pengunduran Diri Karyawan Pabrik Garmen Pictures Irlashop
21 Ungaran Sari Contoh Surat Pengunduran Diri Karyawan Pabrik Garmen Pictures Irlashop from 4.bp.blogspot.com
Lowongan kerja terbaru lulusan sma d3 dan s1 semua jurusan. Pt ungaran sari garment yaitu perusahaan pakaian terbesar berorientasi ekspor di indonesia. Contoh surat lamaran kerja di pabrik roti suratmenyurat net cute766. Contoh surat lamaran kerja di pt ungaran sari garment yang 0998217711968781 dan 127281754304555 di 140586624720146 itu Garment iii seperti yang termuat di brosur lowongan kerja pt.ungaran sari garment. Saya bermaksud untuk melamar pekerjaan dan bergabung ke dalam perusahaan Ungaran sari garment semarang, bagi member blj yang . Lowongan kerja pt ungaran sari garments terbaru september 2020.

Lowongan kerja terbaru lulusan sma d3 dan s1 semua jurusan.

Saya bermaksud untuk melamar pekerjaan dan bergabung ke dalam perusahaan Kami menyediakan layanan yang terintegrasi dan solusi pelanggan . Datang langsung dengan membawa surat lamaran pekerjaan disertai fotokopi ktp, kk, ijazah, skck, surat ijin suami/orang tua dan foto ukuran 3x4 berwarna 3 . Garment iii seperti yang termuat di brosur lowongan kerja pt.ungaran sari garment. Pt ungaran sari garments yang berlokasi di semarang saat ini membuka lowongan pekerjaan posisi operator produksi. Lowongan kerja terbaru lulusan sma d3 dan s1 semua jurusan. Contoh surat lamaran kerja di pt ungaran sari garment yang 0998217711968781 dan 127281754304555 di 140586624720146 itu Lowongan kerja pt ungaran sari garments terbaru september 2020. Hai sobat blog loker jepara, kali ini mimin blj akan berbagi informasi tentang lowongan kerja di pt. Ungaran sari garment, bagi member blj yang lagi bingung . Lowongan di pt ungaran sari garment semarang ugs blog. Ungaran sari garment semarang, bagi member blj yang . Hai sobat blog loker jepara, kali ini mimin blj akan berbagi informasi tentang lowongan kerja di pt.

Pt ungaran sari garments yang berlokasi di semarang saat ini membuka lowongan pekerjaan posisi operator produksi. Datang langsung dengan membawa surat lamaran pekerjaan disertai fotokopi ktp, kk, ijazah, skck, surat ijin suami/orang tua dan foto ukuran 3x4 berwarna 3 . Lowongan kerja pt ungaran sari garments terbaru september 2020. Hai sobat blog loker jepara, kali ini mimin blj akan berbagi informasi tentang lowongan kerja di pt. Pt ungaran sari garment yaitu perusahaan pakaian terbesar berorientasi ekspor di indonesia.

Ungaran sari garment, bagi member blj yang lagi bingung . Contoh Surat Lamaran Kerja Di Pt Pabrik Kelapa Sawit Nusagates
Contoh Surat Lamaran Kerja Di Pt Pabrik Kelapa Sawit Nusagates from i0.wp.com
Datang langsung dengan membawa surat lamaran pekerjaan disertai fotokopi ktp, kk, ijazah, skck, surat ijin suami/orang tua dan foto ukuran 3x4 berwarna 3 . Lowongan di pt ungaran sari garment semarang ugs blog. Hai sobat blog loker jepara, kali ini mimin blj akan berbagi informasi tentang lowongan kerja di pt. Kami menyediakan layanan yang terintegrasi dan solusi pelanggan . Lowongan kerja pt ungaran sari garments terbaru september 2020. Garment iii seperti yang termuat di brosur lowongan kerja pt.ungaran sari garment. Pt ungaran sari garment yaitu perusahaan pakaian terbesar berorientasi ekspor di indonesia. Ungaran sari garment, bagi member blj yang lagi bingung .

Contoh surat lamaran kerja di pt ungaran sari garment yang 0998217711968781 dan 127281754304555 di 140586624720146 itu

Hai sobat blog loker jepara, kali ini mimin blj akan berbagi informasi tentang lowongan kerja di pt. Lowongan kerja terbaru lulusan sma d3 dan s1 semua jurusan. Contoh surat lamaran kerja di pt ungaran sari garment yang 0998217711968781 dan 127281754304555 di 140586624720146 itu Contoh surat lamaran kerja di pabrik roti suratmenyurat net cute766. Datang langsung dengan membawa surat lamaran pekerjaan disertai fotokopi ktp, kk, ijazah, skck, surat ijin suami/orang tua dan foto ukuran 3x4 berwarna 3 . Lowongan kerja pt ungaran sari garments terbaru september 2020. Ungaran sari garment, bagi member blj yang lagi bingung . Saya bermaksud untuk melamar pekerjaan dan bergabung ke dalam perusahaan Pt ungaran sari garment yaitu perusahaan pakaian terbesar berorientasi ekspor di indonesia. Kami menyediakan layanan yang terintegrasi dan solusi pelanggan . Pt ungaran sari garments yang berlokasi di semarang saat ini membuka lowongan pekerjaan posisi operator produksi. Ungaran sari garment semarang, bagi member blj yang . Garment iii seperti yang termuat di brosur lowongan kerja pt.ungaran sari garment.

Kami menyediakan layanan yang terintegrasi dan solusi pelanggan . Lowongan di pt ungaran sari garment semarang ugs blog. Hai sobat blog loker jepara, kali ini mimin blj akan berbagi informasi tentang lowongan kerja di pt. Ungaran sari garment, bagi member blj yang lagi bingung . Garment iii seperti yang termuat di brosur lowongan kerja pt.ungaran sari garment.

Saya bermaksud untuk melamar pekerjaan dan bergabung ke dalam perusahaan View Tulis Tangan Pabrik Contoh Surat Lamaran Kerja Di Pt Sebagai Karyawan Images Irlashop
View Tulis Tangan Pabrik Contoh Surat Lamaran Kerja Di Pt Sebagai Karyawan Images Irlashop from tipkerja.com
Lowongan kerja terbaru lulusan sma d3 dan s1 semua jurusan. Ungaran sari garment semarang, bagi member blj yang . Kami menyediakan layanan yang terintegrasi dan solusi pelanggan . Garment iii seperti yang termuat di brosur lowongan kerja pt.ungaran sari garment. Pt ungaran sari garment yaitu perusahaan pakaian terbesar berorientasi ekspor di indonesia. Lowongan kerja pt ungaran sari garments terbaru september 2020. Saya bermaksud untuk melamar pekerjaan dan bergabung ke dalam perusahaan Contoh surat lamaran kerja di pabrik roti suratmenyurat net cute766.

Pt ungaran sari garments yang berlokasi di semarang saat ini membuka lowongan pekerjaan posisi operator produksi.

Ungaran sari garment, bagi member blj yang lagi bingung . Lowongan di pt ungaran sari garment semarang ugs blog. Pt ungaran sari garment yaitu perusahaan pakaian terbesar berorientasi ekspor di indonesia. Contoh surat lamaran kerja di pabrik roti suratmenyurat net cute766. Hai sobat blog loker jepara, kali ini mimin blj akan berbagi informasi tentang lowongan kerja di pt. Hai sobat blog loker jepara, kali ini mimin blj akan berbagi informasi tentang lowongan kerja di pt. Kami menyediakan layanan yang terintegrasi dan solusi pelanggan . Garment iii seperti yang termuat di brosur lowongan kerja pt.ungaran sari garment. Datang langsung dengan membawa surat lamaran pekerjaan disertai fotokopi ktp, kk, ijazah, skck, surat ijin suami/orang tua dan foto ukuran 3x4 berwarna 3 . Saya bermaksud untuk melamar pekerjaan dan bergabung ke dalam perusahaan Pt ungaran sari garments yang berlokasi di semarang saat ini membuka lowongan pekerjaan posisi operator produksi. Contoh surat lamaran kerja di pt ungaran sari garment yang 0998217711968781 dan 127281754304555 di 140586624720146 itu Lowongan kerja pt ungaran sari garments terbaru september 2020.

Contoh Surat Lamaran Pekerjaan Di Pt Ungaran Sari Garment : Lowongan Kerja Besar Besaran Rsud Kota Depok Tahun 2018 Lowongan Kerja Terbaru Lulusan Sma D3 Dan S1 Semua Jurusan 2021 : Ungaran sari garment, bagi member blj yang lagi bingung .. Hai sobat blog loker jepara, kali ini mimin blj akan berbagi informasi tentang lowongan kerja di pt. Lowongan kerja pt ungaran sari garments terbaru september 2020. Datang langsung dengan membawa surat lamaran pekerjaan disertai fotokopi ktp, kk, ijazah, skck, surat ijin suami/orang tua dan foto ukuran 3x4 berwarna 3 . Lowongan kerja terbaru lulusan sma d3 dan s1 semua jurusan. Hai sobat blog loker jepara, kali ini mimin blj akan berbagi informasi tentang lowongan kerja di pt.

Ungaran sari garment semarang, bagi member blj yang  contoh surat lamaran pekerjaan di pt. Garment iii seperti yang termuat di brosur lowongan kerja pt.ungaran sari garment.

Posting Komentar untuk "Contoh Surat Lamaran Pekerjaan Di Pt Ungaran Sari Garment : Lowongan Kerja Besar Besaran Rsud Kota Depok Tahun 2018 Lowongan Kerja Terbaru Lulusan Sma D3 Dan S1 Semua Jurusan 2021 : Ungaran sari garment, bagi member blj yang lagi bingung ."